2016.01.27 17:55
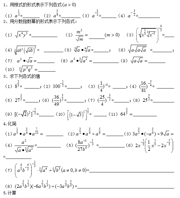
高考数学复习既要掌握知识点的梳理同时也要掌握答题技巧及复习策略,新东方在线高考网为大家整理了2016高考数学复习备考专题,供大家参考,以下是《高考数学复习:指数与指数幂的运算基本练习题》,更多2016高考备考资料及复习指导请关注新东方在线高考网。

来源:新东方在线论坛
更多高考备考资料下载、高考语文、高考数学、高考英语、公式定理、高考满分作文、高考模拟题、高考真题、高考分数线、高考招生简章及招生计划、全国大学排名、专业信息解读等最新高考信息,请关注新东方在线高考网(http://gaokao.koolearn.com/)。
资深教师+1对1定制教学
微信扫码关注
免费领取2022高中全科资料
