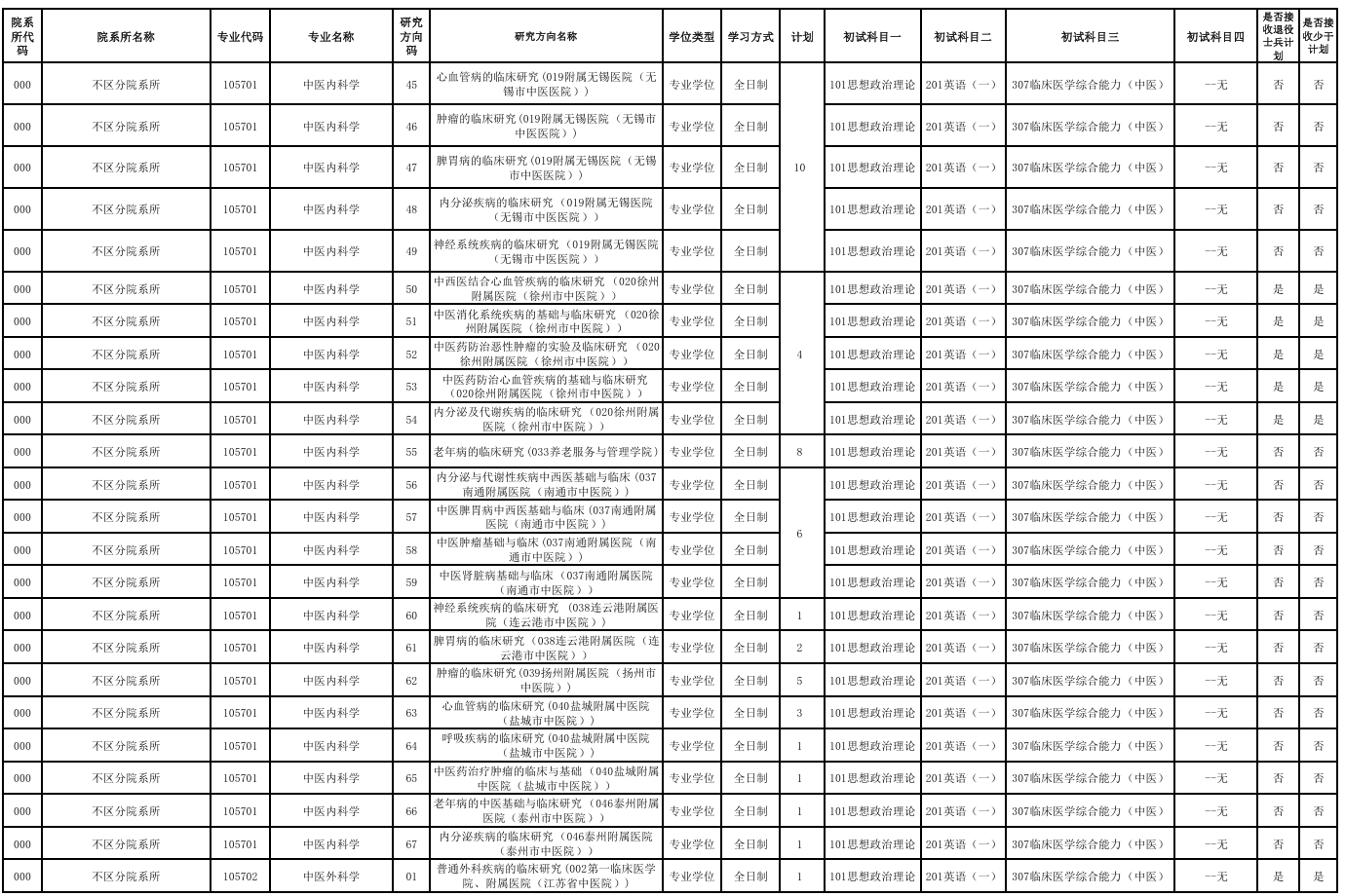
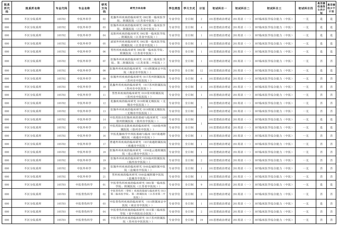
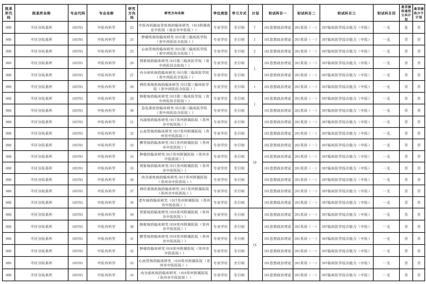
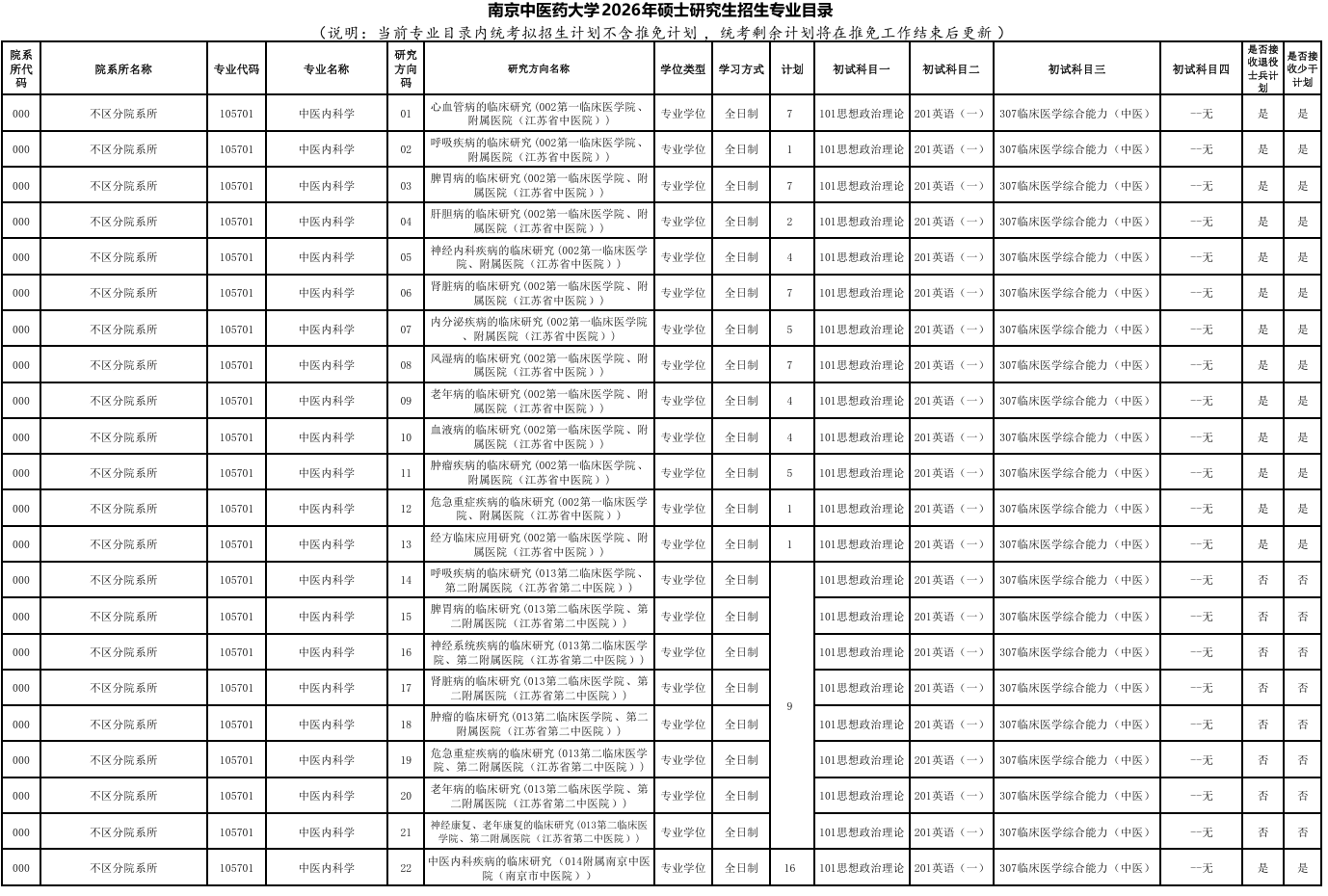
南京中医药大学2026年研究生招生专业目录
2025.10.13 15:58

查看完整版:https://gra.njucm.edu.cn/2025/0930/c7319a161889/page.htm

MORE+

    相关阅读 MORE+

    版权及免责声明
    1.凡本网注明"稿件来源:新东方在线"的所有文字、图片和音视频稿件,版权均属北京新东方迅程网络科技有限公司所有,任何媒体、网站或个人未经本网协议授权不得转载、链接、转贴或以其他方式复制发表。已经本网协议授权的媒体、网站,在下载使用时必须注明"稿件来源:新东方在线",违者本网将依法追究责任。
    2.本网末注明"稿件来源:新东方在线"的文/图等稿件均为转载稿,本网转载出于传递更多信息之目的,并不意味着赞同其观点或证实其内容的真实性。如其他媒体、网站或个人从本网下载使用,必须保留本网注明的"稿件来源",并自负版权等法律责任。如擅自篡改为"稿件来源:新东方在线”,本网将依法追究责任。
    3.如本网转载稿涉及版权等问题,请作者致信weisen@xdfzx.com,我们将及时外理

    Copyright © 2011-202

    All Rights Reserved