为了让考研的同学更高效地复习考研数学,新东方在线考研频道归纳整理了“2024考研数学高数高阶导数公式”,备考考研数学的同学可以了解一下,希望对大家有所帮助。
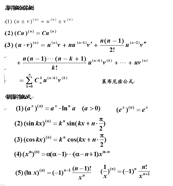
2024考研数学高数高阶导数公式

以上是新东方在线考研频道为考生整理的“ 2024考研数学高数高阶导数公式”相关内容,希望对大家有帮助,新东方在线考研频道小编预祝大家都能取得好成绩。
为了让考研的同学更高效地复习考研数学,新东方在线考研频道归纳整理了“2024考研数学高数高阶导数公式”,备考考研数学的同学可以了解一下,希望对大家有所帮助。
2024考研数学高数高阶导数公式

以上是新东方在线考研频道为考生整理的“ 2024考研数学高数高阶导数公式”相关内容,希望对大家有帮助,新东方在线考研频道小编预祝大家都能取得好成绩。
Copyright © 2011-202
All Rights Reserved