本文为正在准备考研的同学们整理归纳了考研数学概率论与数理统计复习条件概率公式,希望对大家复习有所帮助。
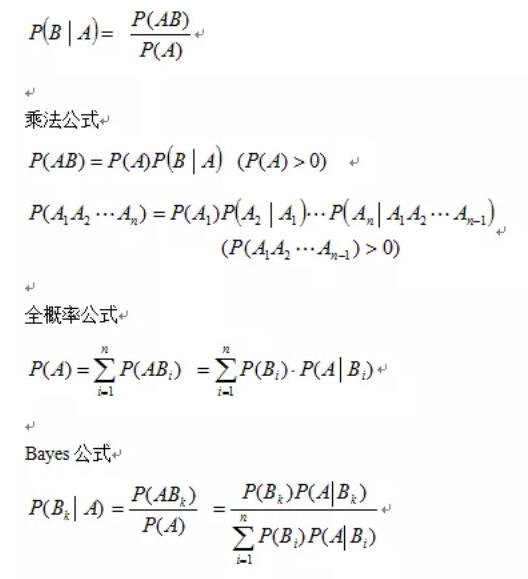
考研数学概率论与数理统计复习条件概率公式

以上为“考研数学概率论与数理统计复习条件概率公式”内容,祝大家考试顺利,取得优异的考试成绩。
本文为正在准备考研的同学们整理归纳了考研数学概率论与数理统计复习条件概率公式,希望对大家复习有所帮助。
考研数学概率论与数理统计复习条件概率公式

以上为“考研数学概率论与数理统计复习条件概率公式”内容,祝大家考试顺利,取得优异的考试成绩。
Copyright © 2011-202
All Rights Reserved