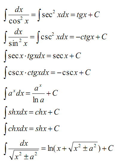
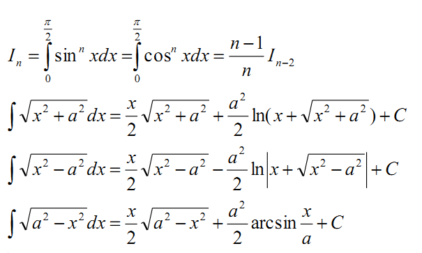
2022考研高等数学基础备考:各类型积分公式
2022考研的考生现在已经进入基础备考阶段啦!一个良好的起跑点对于后期的复习备考至关重要,考研数学栏目为各位考生提供相关考研备战常识与资料,希望能对各位2022考研的考生有所帮助,一起来看哦。



以上是新东方在线考研为考生整理的"2022考研高等数学基础备考:各类型积分公式"的相关内容,希望对大家有帮助,更多考研数学复习信息尽在新东方在线考研数学频道!
2022考研高等数学基础备考:各类型积分公式
2022考研的考生现在已经进入基础备考阶段啦!一个良好的起跑点对于后期的复习备考至关重要,考研数学栏目为各位考生提供相关考研备战常识与资料,希望能对各位2022考研的考生有所帮助,一起来看哦。



以上是新东方在线考研为考生整理的"2022考研高等数学基础备考:各类型积分公式"的相关内容,希望对大家有帮助,更多考研数学复习信息尽在新东方在线考研数学频道!
Copyright © 2011-202
All Rights Reserved