2019考研数学全科冲刺考点:高阶求导之浅析莱布尼兹公式
考研数学冲刺复习,有哪些需要大家掌握的重点难点?新东方在线特别梳理数学全科,涉及高数、概率和线性代数的重要考点详细解读,19考生认真看,把握好冲刺阶段的复习,本文讲解的问题是高阶求导之浅析莱布尼兹公式:
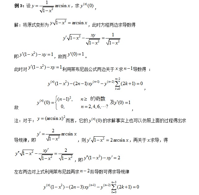
考研中高阶导数的计算方法主要有三种:
一是通过基本的高阶求导公式,结合复合函数的求导法则,求高阶导数公式推到的一般的方法是采用由低到高逐阶求导的方法。
二是可以借助于泰勒公式的间接展开式,对比系数得出高阶导数,这可以针对当求解高阶导数的一般公式很难归纳时使用。
三则是莱布尼茨公式针对解决两个函数相乘的导数。但是莱布尼茨公式的使用范围绝非仅限于此,如果将所求的单个函数转化到乘积形式,可以借助莱布尼兹公式去发现函数的高阶导数的一般规律。



19考研冲刺在即,
短期提分,抓紧来报!

2020考研开挂抢跑
聚焦高频考点

选择比努力更重要
2020考生择校测试!

版权及免责声明
1.凡本网注明"稿件来源:新东方在线"的所有文字、图片和音视频稿件,版权均属北京新东方迅程网络科技有限公司所有,任何媒体、网站或个人未经本网协议授权不得转载、链接、转贴或以其他方式复制发表。已经本网协议授权的媒体、网站,在下载使用时必须注明"稿件来源:新东方在线",违者本网将依法追究责任。
2.本网末注明"稿件来源:新东方在线"的文/图等稿件均为转载稿,本网转载出于传递更多信息之目的,并不意味着赞同其观点或证实其内容的真实性。如其他媒体、网站或个人从本网下载使用,必须保留本网注明的"稿件来源",并自负版权等法律责任。如擅自篡改为"稿件来源:新东方在线”,本网将依法追究责任。
3.如本网转载稿涉及版权等问题,请作者致信weisen@xdfzx.com,我们将及时外理
Copyright © 2011-202
All Rights Reserved