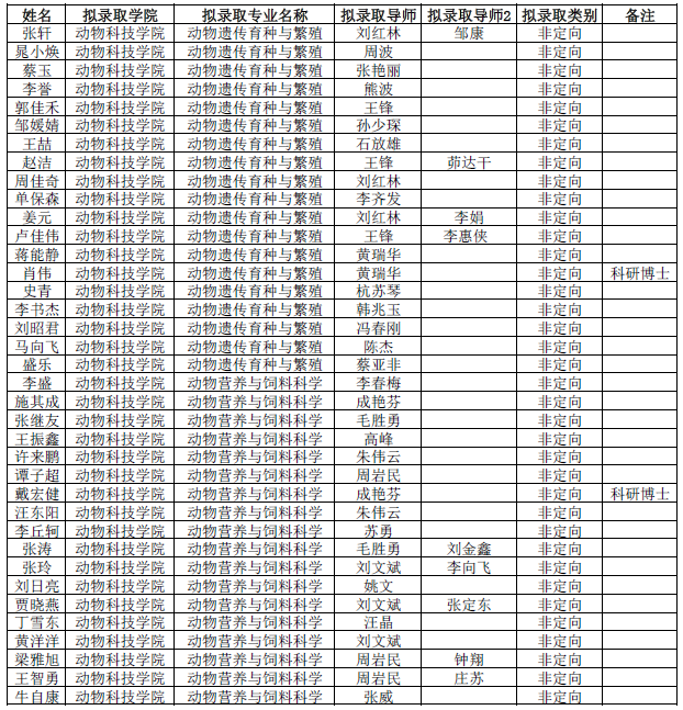
2021年博士研究生招生入学考试工作已经展开,新东方在线考博频道将为广大2021考博考生发布转载各博士招生单位发布的2021年博士研究生招生简章、考博专业目录、考博参考书目、及导师联系方式,以下是南京农业大学动科院2021级博士拟录取名单公示。
点击查看:全国各院校2021博士研究生招生简章汇总

原文链接:http://grasch.njau.edu.cn/info/1023/3243.htm
温馨提示:因考试政策、内容不断变化与调整,本网站提供的以上信息仅供参考,如有异议,请考生以权威部门公布的内容为准!